The Amptek DP5G Kit is a state-of-the-art, high performance, low power digital pulse processor designed for use in scintillation spectroscopy systems. Connected to the anode of a PMT, it includes a charge sensitive preamplifier and a digital pulse processor, which replaces both the shaping amplifier and the MCA in a traditional nuclear spectroscopy system. The kit includes all the power supplies necessary to power those circuits and uses standard connectors for easy of use (USB, Ethernet, etc.). The DP5G offers several advantages over traditional systems, including higher performance, enhanced flexibility, small size, and low cost.
The DP5G Kit consists of three boards stacked together: The DP5G digital pulse processor board, the PCG interface board, and the AUX board. A complete system must also include a detector module (scintillator/PMT) and a HV supply (not included).
The DP5G represents the latest generation in digital pulse processing. It is a variant of the DP5, optimized for scintillation readout. The DP5 technology includes faster peaking times, improved pile-up rejection and pulse shape discrimination, better dead time correction, additional features such as a “List Mode,” and enhanced interfaces.
For a completely integrated and ruggedized system including the detector an HV supply please see the Gamma-RAD5.
For a traditional tube base which includes all the electronics and HV supply please see the TB-5.
Features
- Integrated preamplifier, shaping amplifier, and MCA optimized for scintillation systems
- Processes PMT anode signal, giving complete spectrum
- Includes all power supplies for preamplifier and processor
- Standard USB and Ethernet connectors
- Whole system can be powered by USB or power over Ethernet
- For OEMs or custom laboratory users
- Highly configurable
- Low Power: 600 mW typical
- List Mode
BUY NOW
Block Diagram

Figure 2. Block diagram of the DP5G Kit.
DP5G Charge Amplifier
The analog prefilter in the DP5G differs from that of Amptek’s other digital processors: the first stage of the DP5G is a charge amplifier rather than a voltage amplifier. This difference has important implications for the performance of the DP5G and how one interfaces with it. The plot below shows the DP5G charge amplifier and how it is typically connected to a PMT.

Figure 3. DP5G charge sensitive preamplifier configuration.
Fast scintillators
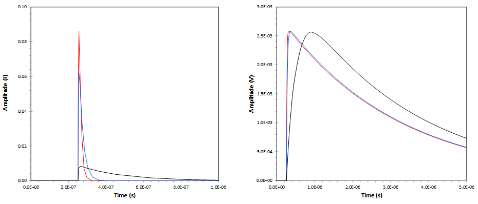
The charge amplifier permits the DP5G to be used with scintillators having a very fast time constant. Customers often ask “Since the ADC operates at 80 MHz (12 ns), how can you measure a scintillator with a 10 ns decay time”? The current pulse Iin(t) into J2 may be fast, but the output of U11 is the time integral of Iin(t) (differentiated by a 3.2 µs time constant). A faster scintillator simply gives a faster rising edge to the output of U11. The figure below shows simulated results for three different time constants. The DP5G can accurately digitize very fast scintillators, because it is digitizing the output of the charge amplifier, not the input current.

Figure 4. Left: Simulated input currents for scintillators with 10 ns (red), 20 ns (blue), and 230 ns (black) time constants. Right: Simulated outputs for U11 for the same three cases.
Current input
The input to the DP5G must be a current, not a voltage. U11 integrates the current pulse from the PMT. Some users have inserted a transimpedance amplifier between the PMT and the DP5G, providing a voltage input to the DP5G. This will not work properly with the standard DP5G configuration. The user can reconfigure the circuit to handle voltage inputs but the standard DP5G requires an input current pulse.
PMT polarity
Most applications use a positive HV on the PMT anode, with the cathode grounded. But the DP5G works fine if the cathode is held at a negative HV and the anode is at virtual ground. In both cases, a pulse of electrons is accelerated from the cathode and injected across the coupling capacitor into the DP5G.

Figure 5. Both positive and negative HV polarity can be used with the DP5G.
Mechanicals

Figure 6. DP5G Kit mechanical.
Custom Configurations
The DP5G kit is designed to provide the user with a complete pulse processing system for scintillators that it easy to use. In custom or embedded applications the PCG boards may not be necessary if power supplies and connectors are available elsewhere in the system. Contact Amptek for more information on these applications or if you wish to use only the DP5G board and not the interface or AUX boards.
Contact us for more information today!